viernes, 27 de mayo de 2016

Clase 7.

Clase 7.

Martes, 17 de Mayo del 2016

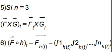
Operaciones con funciones vectoriales. Con las funciones vectoriales que fueron vistas en la clase 6, se puede hacer operaciones, las cuales serán explicadas a continuación.




En las funciones vectoriales también se puede calcular limites, continuidad y sus respectivas derivadas. Todo según lo conocido en funciones de 1 variable. Lo único que se debe realizar es el proceso típico para cada uno de sus componentes. Teniendo en cuenta lo siguiente:

  • Existe el limite de una función vectorial si y solo si existe el limite en cada una d sus componentes.
  • El resultado de la aplicación del limite será un vector.
  • Una función vectorial es continua en un intervalo [a,b] si y solo si cada una de sus componentes es continua en el mismo intervalo.

No hay comentarios:

Publicar un comentario